MINISTÉRIO DA AGRICULTURA, PECUÁRIA E ABASTECIMENTO
GABINETE DO MINISTRO
INSTRUÇÃO NORMATIVA Nº 29, DE 8 DE JUNHO DE 2011
_________________________________________________________________________________________
Nota: Este Texto Legal é conhecido como Lei do Sistema Nacional de Certificação de Unidades Armazenadoras
_________________________________________________________________________________________
O MINISTRO DE ESTADO DA AGRICULTURA, PECUÁRIA E ABASTECIMENTO, no uso das atribuições que lhe confere o art. 41 do Decreto nº 86.765, de 22 de dezembro de 1981, e tendo em vista o que consta dos Processos nos 21000.006319/2008-84 e 21000.010973/2010-15, resolve:
Art. 1º Aprovar os Requisitos Técnicos Obrigatórios ou Recomendados para Certificação de Unidades Armazenadoras em Ambiente Natural e o Regulamento de Avaliação da Conformidade das Unidades Armazenadoras, constantes dos Anexos I e II, respectivamente, desta Instrução Normativa, revisados em conformidade com a Instrução Normativa nº 41, de 14 de dezembro de 2010, mantido o escalonamento estabelecido naquele ato administrativo e disponíveis no sítio www.agricultura.gov.br, link: Vegetal / Serviços Relacionados / Certificação.
Art. 2º Esta Instrução Normativa consolida todas as normas e procedimentos a serem adotados na implantação do Sistema Nacional de Certificação de Unidades Armazenadoras.
Art. 3º Esta Instrução Normativa entra em vigor na data de sua publicação.
Art. 4º Fica revogada a Instrução Normativa nº 03, de 8 de janeiro de 2010.
WAGNER ROSSI
ANEXO I
Requisitos Técnicos Obrigatórios ou Recomendados para Certificação de Unidades Armazenadoras em Ambiente Natural
O estabelecimento de procedimentos que visem a modernizar as atividades de guarda e conservação de produtos agropecuários tem sido um dos principais anseios reivindicados pelos segmentos que se relacionam com os prestadores de serviços de armazenagem.
Um desses procedimentos é, sem dúvida, o estabelecimento de regras para construção, instalação e funcionamento de estruturas de armazenamento.
A criação de normas para licenciamento de tais estruturas ou mesmo a idealização de um sistema de certificação são alguns dos procedimentos que, ao lado de outros fatores, podem ajudar a modernizar o setor de armazenamento.
Em seu Art. 2º, a Lei nº 9.973, de 29 de maio de 2000, criou o sistema de certificação, com base no Sistema Brasileiro de Certificação instituído pelo CONMETRO - Conselho Nacional de Metrologia, Normalização e Qualidade Industrial, reconhecido pelo Estado Brasileiro, e que possui regras próprias e procedimentos de gestão.
Já o Art. 16 do Decreto n. º 3.855/2001 estabeleceu, em seu Parágrafo 1º, que o Sistema Nacional de Certificação de Unidades Armazenadoras será desenvolvido de acordo com as regras e os procedimentos do Sistema Brasileiro de Certificação, devendo dispor sobre as condições e a documentação exigíveis dos interessados.
De acordo com essa legislação, a certificação é obrigatória para as pessoas jurídicas que prestam serviços remunerados de armazenagem, a terceiros, de produtos agropecuários, seus derivados, subprodutos e resíduos de valores econômicos, inclusive de estoques públicos, podendo o Ministério da Agricultura, Pecuária e Abastecimento - MAPA ampliar a exigência para outras unidades armazenadoras.
As unidades armazenadoras não certificadas não poderão ser utilizadas para o armazenamento remunerado de produtos agropecuários. Não há restrição para que os armazéns não enquadrados como obrigatórios na legislação participem voluntariamente do sistema e do processo de certificação.
Os requisitos técnicos para Certificação de Unidades Armazenadoras em Ambiente Natural foram definidos por Grupo de Trabalho, com representantes do poder público e da iniciativa privada envolvidos com o setor armazenador.
As unidades armazenadoras foram enquadradas em função da sua localização e de suas características operacionais em quatro níveis: de fazenda, coletor, intermediário e terminal.
Os requisitos técnicos foram classificados como obrigatórios (O) e recomendados (R), sendo os obrigatórios subdivididos em:
(O1) requisito obrigatório no momento da vistoria da unidade armazenadora pela entidade certificadora;
(O2) requisito obrigatório para todas as unidades armazenadoras cujo início das obras se dará após a publicação da Instrução Normativa n.º 41/2010, no Diário Oficial da União - DOU em 15/12/2010, pelo MAPA;
(O3) requisito obrigatório que deve ser cumprido no prazo de até três anos após a publicação da IN n.º 41/2010 no DOU, em 15/12/2010 pelo MAPA;
_____________________________________________________________________
Nota: Prazo prorrogado de 3 (três) anos até 5 (cinco) anos, pela Instrução Normativa 24/2013/MAPA
_____________________________________________________________________
(O4) requisito obrigatório que deve ser cumprido no prazo de até cinco anos após a publicação da IN n.º 41/2010 no DOU, em 15/12/2010, pelo MAPA.
_____________________________________________________________________
Nota: Prazo prorrogado de 3 (três) anos até 5 (cinco) anos, pela Instrução Normativa 24/2013/MAPA
_____________________________________________________________________
Ressalta-se que as unidades armazenadoras cujo início das obras ocorrerem após a publicação pelo MAPA da IN n.º 41/2010, no DOU, em 15/12/2010, devem observar todos os requisitos obrigatórios, além daqueles enquadrados como O2.
Os requisitos técnicos recomendados ou obrigatórios para Certificação de Unidades Armazenadoras em Ambiente Natural são os constantes no quadro-resumo (apresentado a seguir) e que posteriormente serão discriminados por grupos de requisitos. Todavia, foram previstas algumas especificidades e excepcionalidades, razão que torna indispensável a leitura de todo o documento.
Destaca-se que a Lei n.º 9.973/2000 dispõe sobre o sistema de armazenagem dos produtos agropecuários, razão pela qual os pontos de transbordos não se enquadram na exigência da Certificação, visto que a função destas instalações não é a de armazenamento.
Os requisitos técnicos para Certificação foram definidos apenas para as Unidades Armazenadoras em Ambiente Natural (inclusive os que utilizam sistema de refrigeração), não estando previsto, portanto, a Certificação para os armazéns em ambiente com atmosfera modificada.
Em se tratando de unidades armazenadoras de sementes, aplicam-se os requisitos constantes deste normativo, acrescidos dos específicos da legislação de sementes.
Cabe à própria empresa enquadrar suas unidades armazenadoras quanto ao nível em que deseja ser certificada, por meio de declaração própria. Destaca-se que esse enquadramento não possui nenhuma correlação com as informações relativas à localização contida no cadastro da Conab - Companhia Nacional de Abastecimento.
É condição indispensável para a certificação que a unidade armazenadora disponha de normas operacionais descritas que comprovem os métodos e os processos utilizados para os serviços realizados, disciplinando e padronizando suas ações no que se refere à prestação de serviços de armazenamento.
Devem ser certificadas todas as estruturas armazenadoras do mesmo grupo, mesmo que com CNPJ diferentes, desde que prestam serviços para empresas do mesmo grupo.
Buscou-se identificar as legislações federais que norteiam a atividade de armazenamento no País. Contudo, cabe salientar que, além da necessidade da observância dos requisitos técnicos recomendados ou obrigatórios e da legislação aqui abordada, as unidades armazenadoras devem atender ao determinado na legislação e nas normas pertinentes à atividade de armazenamento.
Conceitos e Definições
Certificação - É o reconhecimento formal, concedido por um organismo autorizado, de que uma entidade tem competência técnica para realizar serviços específicos. É um indicador para os usuários de que as atividades desenvolvidas pelo prestador de serviços atendem ao padrão de qualidade, e que possuem os requisitos técnicos mínimos estabelecidos no regulamento para o exercício daquela atividade.
Unidade Armazenadora "em nível de fazenda" - Unidade armazenadora localizada em propriedade rural, com capacidade estática e estrutura dimensionada para atender ao próprio produtor.
Unidade Armazenadora coletora - Unidade armazenadora localizada na zona rural (inclusive nas propriedades rurais) ou urbana, com características operacionais próprias, dotada de equipamentos para processamento de limpeza, secagem e armazenagem com capacidade operacional compatível com a demanda local. Em geral, são unidades armazenadoras que recebem produtos diretamente das lavouras para prestação de serviços para vários produtores. Entretanto, nas unidades armazenadoras que recebem produtos in natura limpos e secos, fibras ou industrializados, os sistemas de limpeza e secagem não são obrigatórios.
Unidade Armazenadora intermediária - Unidade armazenadora localizada em ponto estratégico de modo a facilitar a recepção e o escoamento dos produtos provenientes das unidades armazenadoras coletoras. Permite a concentração de grandes estoques em locais destinados a facilitar o processo de comercialização, industrialização ou exportação.
Unidade Armazenadora terminal - Unidade armazenadora localizada junto aos grandes centros consumidores ou nos portos, dotada de condições para a rápida recepção e o rápido escoamento do produto, caracterizada como unidade armazenadora de alta rotatividade.
QUADRO RESUMO REQUISITOS TÉCNICOS OBRIGATÓRIOS OU RECOMENDADOS PARA A CERTIFICAÇÃO DE UNIDADES ARMAZENADORAS EM AMBIENTE NATURAL
|
REQUISITOS |
NÍVEL FAZENDA |
COLETOR |
INTERMEDIÁ-RIO |
TERMINAL |
|
CONV |
GRA-NEL |
CONV |
GRA-NEL |
CONV |
GRA-NEL |
CONV |
GRA-NEL |
|
1. CADASTRAMENTO |
|
Na Conab |
O¹ |
O¹ |
O¹ |
O¹ |
O¹ |
O¹ |
O¹ |
O¹ |
|
Mapeamento da Unidade |
R |
R |
R |
R |
R |
R |
R |
R |
|
2. LOCALIZAÇÃO |
|
Topografia |
R |
R |
R |
R |
R |
R |
R |
R |
|
Drenagem |
O² |
O² |
O² |
O² |
O² |
O² |
O² |
O² |
|
Lençol freático |
R |
R |
R |
R |
R |
R |
R |
R |
|
Não Proximidade centros urbanos |
R |
R |
R |
R |
R |
R |
R |
R |
|
Não Proximidade de mananciais |
R |
R |
R |
R |
R |
R |
R |
R |
|
3. INFRA-ESTRUTURA |
|
Viária |
|
- Acesso permanente |
O¹ |
O¹ |
O¹ |
O¹ |
O¹ |
O¹ |
O¹ |
O¹ |
|
- Pátio pavimentado |
R |
R |
O³ |
O³ |
O4 |
O4 |
O4 |
O4 |
|
Comunicação |
O¹ |
O¹ |
O¹ |
O¹ |
O¹ |
O¹ |
O¹ |
O¹ |
|
Energia Elétrica |
O¹ |
O¹ |
O¹ |
O¹ |
O¹ |
O¹ |
O¹ |
O¹ |
|
Sinalização de Trânsito |
O3 |
O3 |
O3 |
O3 |
O4 |
O4 |
O4 |
O4 |
|
4. ISOLAMENTO/ACESSO |
|
|
|
|
|
|
|
|
|
Cerca e portão |
O¹ |
O¹ |
O¹ |
O¹ |
O¹ |
O¹ |
O¹ |
O¹ |
|
Segurança |
R |
R |
R |
R |
R |
R |
R |
R |
|
Guarita de controle |
R |
R |
R |
R |
R |
R |
R |
R |
|
5. AMBIENTE DE ATENDIMENTO AO PÚBLICO |
|
Estacionamento |
R |
R |
O² |
O² |
O² |
O² |
O² |
O² |
|
Instalações sanitárias |
R |
R |
O4 |
O4 |
O4 |
O4 |
O4 |
O4 |
|
6. ESCRITÓRIO |
|
|
|
|
|
|
|
|
|
Instalações sanitárias |
O4 |
O4 |
O4 |
O4 |
O4 |
O4 |
O4 |
O4 |
|
Arquivos de Documentos |
O¹ |
O¹ |
O¹ |
O¹ |
O¹ |
O¹ |
O¹ |
O¹ |
|
Informatização (grau de ) |
O¹ |
O¹ |
O¹ |
O¹ |
O¹ |
O¹ |
O¹ |
O¹ |
|
7. SISTEMA DE PESAGEM |
|
|
|
|
|
|
|
|
|
Balança de plataforma móvel |
O¹ |
|
O¹ |
|
O¹ |
|
O¹ |
|
|
Balança de plataforma rodoviária |
R |
O¹ |
R |
O¹ |
R |
O¹ |
R |
O¹ |
|
8. SISTEMA DE AMOSTRAGEM |
|
Amostradores básicos |
|
- Calador para sacaria |
O¹ |
|
O¹ |
|
O¹ |
|
O¹ |
|
|
- Calador para produto a granel |
|
O¹ |
|
O¹ |
|
O¹ |
|
O¹ |
|
- Amostrador pneumático |
|
R |
|
R |
|
R |
|
R |
|
- Amostrador de fluxo |
|
R |
|
R |
|
R |
|
R |
|
Sonda manual |
|
R |
|
R |
|
|
|
|
|
Sistema de Homogeneização |
O¹ |
O¹ |
O¹ |
O¹ |
O¹ |
O¹ |
O¹ |
O¹ |
|
Arquivo de amostras |
O¹ |
O¹ |
O¹ |
O¹ |
O¹ |
O¹ |
O¹ |
O¹ |
|
9. DETERMINAÇÃO DE QUALIDADE DO PRODUTO |
|
Recinto de análise |
O¹ |
O¹ |
O¹ |
O¹ |
O¹ |
O¹ |
O¹ |
O¹ |
|
Determinador de umidade método indireto |
O¹ |
O¹ |
O¹ |
O¹ |
O¹ |
O¹ |
O¹ |
O¹ |
|
Determinador de umidade método direto |
R |
R |
R |
R |
R |
R |
R |
R |
|
Determinador de umidade de fluxo |
|
R |
|
R |
|
R |
|
R |
|
Determinador de impurezas mecânico |
R |
R |
R |
R |
R |
R |
R |
R |
|
Identificador de transgenia |
R |
R |
R |
R |
R |
R |
R |
R |
|
Indicador de toxinas |
R |
R |
R |
R |
R |
R |
R |
R |
|
Balança de precisão |
O¹ |
O¹ |
O¹ |
O¹ |
O¹ |
O¹ |
O¹ |
O¹ |
|
Balança hectolítrica |
R |
R |
R |
R |
R |
R |
R |
R |
|
Engenho de Prova (arroz) |
O¹ |
O¹ |
O¹ |
O¹ |
O¹ |
O¹ |
O¹ |
O¹ |
|
Jogo de peneiras |
O¹ |
O¹ |
O¹ |
O¹ |
O¹ |
O¹ |
O¹ |
O¹ |
|
Acessórios (lupa, paquímetro, pinças..) |
R |
R |
R |
R |
R |
R |
R |
R |
|
10. SISTEMA DE LIMPEZA |
|
|
|
|
|
|
|
|
|
Sistema de Limpeza |
O¹ |
O¹ |
O¹ |
O¹ |
O¹ |
O¹ |
R |
R |
|
11. SISTEMA DE SECAGEM |
|
|
|
|
|
|
|
|
|
Sistema de secagem |
O¹ |
O¹ |
O¹ |
O¹ |
O¹ |
O¹ |
|
R |
|
12. SISTEMA DE MOVIMENTAÇÃO DO PRODUTO |
|
Moega |
O¹ |
O¹ |
O¹ |
O¹ |
O¹ |
O¹ |
O¹ |
O¹ |
|
Transporte/movimentação |
O¹ |
O¹ |
O¹ |
O¹ |
O¹ |
O¹ |
O¹ |
O¹ |
|
13. SISTEMA ARMAZENAGEM |
|
|
|
|
|
|
|
|
|
Sistema de controle elétrico |
O4 |
O4 |
O4 |
O4 |
O4 |
O4 |
O4 |
O4 |
|
Sistema de termometria |
|
O4 |
|
O4 |
|
O4 |
|
R |
|
Sistema de aeração |
|
O4 |
|
O4 |
|
O4 |
|
R |
|
Espalhador de grãos |
|
R |
|
R |
|
R |
|
R |
|
Higienização nas unidades armazenadoras, instalações físicas, equipamentos e pátio |
O¹ |
O¹ |
O¹ |
O¹ |
O¹ |
O¹ |
O¹ |
O¹ |
|
Controle pragas e roedores |
O¹ |
O¹ |
O¹ |
O¹ |
O¹ |
O¹ |
O¹ |
O¹ |
|
Estrados |
O¹ |
|
O¹ |
|
O¹ |
|
O¹ |
|
|
Sistema de exaustão |
O2 |
O2 |
O2 |
O2 |
O2 |
O2 |
O2 |
O2 |
|
Sistema medição condições psicrométricas do ar |
|
O¹ |
|
O¹ |
|
O¹ |
|
|
|
REQUISITOS |
NÍVEL |
FAZENDA |
COLETOR |
INTERMEDIÁ-RIO |
TERMINAL |
|
CONV. |
GRA-NEL |
CONV. |
GRA-NEL |
CONV. |
GRA-NEL |
CONV. |
GRA-NEL |
|
14. SISTEMA DE SEGURANÇA |
|
Sistema captação de material particulado |
O4 |
O4 |
O4 |
O4 |
O4 |
O4 |
O4 |
O4 |
|
Sistema de ventilação em ambientes confinados e semi |
|
O¹ |
|
O¹ |
|
O¹ |
|
O¹ |
|
Sistema de combate de incêndio |
O4 |
O4 |
O4 |
O4 |
O4 |
O4 |
O4 |
O4 |
|
Indicador ou detector de gases |
R |
R |
R |
R |
R |
R |
R |
R |
|
Sistema de proteção contra fenômenos naturais |
R |
R |
R |
R |
R |
R |
R |
R |
|
PPRA |
O¹ |
O¹ |
O¹ |
O¹ |
O¹ |
O¹ |
O¹ |
O¹ |
|
15. ARMAZENAMENTO DE ALGODÃO EM PLUMA SOB LONAS |
|
Balança de plataforma rodoviária |
O¹ |
|
O¹ |
|
O¹ |
|
O¹ |
|
|
Arquivo de amostras |
R |
|
R |
|
R |
|
R |
|
|
Empilhadeira |
O¹ |
|
O¹ |
|
O¹ |
|
O¹ |
|
|
Higienização das instalações físicas, |
O¹ |
|
O¹ |
|
O¹ |
|
O¹ |
|
|
equipamentos e pátio |
|
|
|
|
|
|
|
|
|
Sistema de combate de incêndio |
O4 |
|
O4 |
|
O4 |
|
O4 |
|
|
PPRA |
O¹ |
|
O¹ |
|
O¹ |
|
O¹ |
|
|
Sistema de proteção contra fenôme- |
O¹ |
|
O¹ |
|
O¹ |
|
O¹ |
|
|
nos naturais |
|
|
|
|
|
|
|
|
|
Procedimentos operacionais |
O¹ |
|
O¹ |
|
O¹ |
|
O¹ |
|
|
16. DEMAIS REQUISITOS |
|
Responsável Técnico |
O¹ |
O¹ |
O¹ |
O¹ |
O¹ |
O¹ |
O¹ |
O¹ |
|
Monitoramento de Resíduos Tóxicos (programa) |
R |
R |
R |
R |
R |
R |
R |
R |
|
Programa de Treinamento e Aperfeiçoamento Técnico |
O¹ |
O¹ |
O¹ |
O¹ |
O¹ |
O¹ |
O¹ |
O¹ |
|
Registros Ocorrências Operacionais |
O¹ |
O¹ |
O¹ |
O¹ |
O¹ |
O¹ |
O¹ |
O¹ |
|
Monitoramento de Micotoxinas (programa) |
R |
R |
R |
R |
R |
R |
R |
R |
|
Quadro de Pessoal |
O¹ |
O¹ |
O¹ |
O¹ |
O¹ |
O¹ |
O¹ |
O¹ |
|
Plano de Manutenção Preventiva e Calibração de Equipamentos |
R |
R |
R |
R |
R |
R |
R |
R |
Legenda:
1. Cadastramento
O cadastramento, de responsabilidade da Conab, tem como objetivo apurar, sistematicamente, as informações sobre as unidades armazenadoras em ambiente natural, registrando sua identificação, capacidade e qualificação técnica, de modo a permitir o conhecimento da localização, da capacidade estática e das características da rede armazenadora do País.
É recomendado o mapeamento da unidade armazenadora, indicando a localização dos estoques físicos, o qual deverá ser disponibilizado ao depositante.
A comprovação do cadastramento perante a Conab dar-se-á por meio da apresentação do número do CDA - Cadastro do Armazém, disponível na página www.conab.gov.br ou por meio de documento emitido pela própria Conab.
TABELA ITEM 1
|
REQUISITOS |
NÍVEL FAZENDA |
COLETOR |
INTERMEDIÁ-RIO |
TERMINAL |
|
CONV. |
GRANEL |
CONV. |
GRANEL |
CONV. |
GRANEL |
CONV. |
GRANEL |
|
1. CADASTRAMENTO |
|
Na Conab |
O¹ |
O¹ |
O¹ |
O¹ |
O¹ |
O¹ |
O¹ |
O¹ |
|
Mapeamento da Unidade |
R |
R |
R |
R |
R |
R |
R |
R |
2. Localização
É recomendado que, antes da construção da unidade armazenadora ou da ampliação da sua capacidade estática, sejam feitos levantamento topográfico e avaliação do lençol freático do local da obra, com vistas a evitar problemas futuros.
Toda unidade armazenadora, cuja construção ou ampliação de sua capacidade estática se iniciar a partir da publicação da IN n.º 41/2010, DOU de 15/12/2010, deve possuir sistema de drenagem adequado e observar as normas ambientais quanto às atividades industriais próximas a centros urbanos e mananciais, comprovada por meio da licença ambiental ou dos respectivos projetos. São aceitas como comprovação de conformidade as licenças de funcionamento emitidas por prefeituras, órgãos de segurança ou ambiental.
TABELA ITEM 2
|
REQUISITOS |
NÍVEL FAZENDA |
COLETOR |
INTERMEDIÁ-RIO |
TERMINAL |
|
CONV. |
GRA-NEL |
CONV. |
GRA-NEL |
CONV. |
GRA-NEL |
CONV. |
GRA-NEL |
|
2. LOCALIZAÇÃO |
|
Topografia |
R |
R |
R |
R |
R |
R |
R |
R |
|
Drenagem |
O² |
O² |
O² |
O² |
O² |
O² |
O² |
O² |
|
Lençol freático |
R |
R |
R |
R |
R |
R |
R |
R |
|
Não Proximidade centros urbanos |
R |
R |
R |
R |
R |
R |
R |
R |
|
Não Proximidade de mananciais |
R |
R |
R |
R |
R |
R |
R |
R |
3. Infraestrutura
A infraestrutura viária existente no recinto da unidade armazenadora deve permitir trânsito permanente, sendo tal característica obrigatória para todas as unidades armazenadoras.
A unidade deve possuir sinalizações verticais de trânsito e de fluxo de veículos para garantir a movimentação e a ordem em seu interior.
A pavimentação será obrigatória para as unidades armazenadoras coletoras, intermediárias e terminais. Essa pavimentação obrigatória se refere às vias de rolamento existentes dentro do pátio da unidade armazenadora (arruamento), por onde transitam os veículos de carga.
Para execução e conclusão da pavimentação haverá um prazo de até três anos, no caso de unidades armazenadoras coletoras, e de até cinco anos para as unidades armazenadoras intermediárias e terminais, contados a partir da publicação no DOU, da IN n.º 41/2010, em 15/12/2010.
_____________________________________________________________________
Nota: Haverá o prazo de até 3 (três) anos, no caso de unidades armazenadoras coletoras, e de 5 (cinco) anos, para as unidades armazenadoras intermediárias e terminais Instrução Normativa 24/2013/MAPA
_____________________________________________________________________
No caso de unidades armazenadoras coletoras será admitido o cascalhamento como tipo de pavimentação, independentemente de sua granulometria, desde que permita o fluxo de veículos.
É recomendado para as unidades armazenadoras "em nível de fazenda" o cascalhamento como tipo de pavimentação.
É obrigatória a existência de meios de comunicação permanente da unidade armazenadora com o público externo, por meio de sistema eletrônico ou outro sistema usual.
A unidade armazenadora deve ser dotada de energia elétrica (própria ou de concessionária) para possibilitar todas as atividades operacionais, desde o recebimento até a expedição da mercadoria.
TABELA ITEM 3
|
REQUISITOS |
NÍVEL FAZENDA |
COLETOR |
INTERMEDIÁ-RIO |
TERMINAL |
|
CONV. |
GRA-NEL |
CONV. |
GRA-NEL |
CONV. |
GRA-NEL |
CONV. |
GRA-NEL |
|
3. INFRA-ESTRUTURA |
|
Viária |
|
- Acesso permanente |
O¹ |
O¹ |
O¹ |
O¹ |
O¹ |
O¹ |
O¹ |
O¹ |
|
- Pátio pavimentado |
R |
R |
O³ |
O³ |
O4 |
O4 |
O4 |
O4 |
|
Comunicação |
O¹ |
O¹ |
O¹ |
O¹ |
O¹ |
O¹ |
O¹ |
O¹ |
|
Energia Elétrica |
O¹ |
O¹ |
O¹ |
O¹ |
O¹ |
O¹ |
O¹ |
O¹ |
|
Sinalização de Trânsito |
O³ |
O³ |
O³ |
O³ |
O4 |
O4 |
O4 |
O4 |
4. Isolamento/acesso
Todas as unidades armazenadoras devem possuir cercas ou similares, (cercas de arame farpado e liso, telas, muros, cercas vivas, etc.) para definir o perímetro da unidade. O acesso às instalações deve ser através de portões.
Quando a unidade armazenadora estiver inserida em um complexo comercial ou industrial, deverá ser considerado o cercamento do complexo como um todo.
É vedada a criação de animais no pátio da unidade armazenadora. Caso haja residência na área interna a mesma deve ser isolada.
Recomenda-se a existência de serviço de segurança interna e/ou externa, em todas as unidades armazenadoras.
TABELA ITEM 4
|
REQUISITOS |
NÍVEL FAZENDA |
COLETOR |
INTERMEDIÁ-RIO |
TERMINAL |
|
CONV. |
GRA-NEL |
CONV. |
GRA-NEL |
CONV. |
GRA-NEL |
CONV. |
GRA-NEL |
|
4. ISOLAMENTO/ACESSO |
|
Cerca e portão |
O¹ |
O¹ |
O¹ |
O¹ |
O¹ |
O¹ |
O¹ |
O¹ |
|
Segurança |
R |
R |
R |
R |
R |
R |
R |
R |
|
Guarita de controle |
R |
R |
R |
R |
R |
R |
R |
R |
5. Ambiente de atendimento ao público
No ambiente de atendimento aos clientes e usuários de todas as unidades coletoras, intermediárias e terminais, a serem construídas a partir da publicação da IN n.º 41/2010, no DOU de 15/12/2010, será obrigatória a existência de estacionamento com acesso ao público (usuários/ clientes).
Em todas as unidades armazenadoras é obrigatória a existência de instalações sanitárias para atendimento aos clientes e usuários, podendo as mesmas ser de uso compartilhado com os funcionários, as quais deverão estar de acordo com a legislação vigente.
Para as unidades armazenadoras a "nível de fazenda" recomenda-se a instalação de sanitários, observada a legislação vigente.
Para que o armazenador possa proceder às adaptações necessárias as exigências legais, no tocante às instalações sanitárias, foi concedido o prazo de até cinco anos, contado a partir da publicação da IN n.º 41/2010 no DOU, em 15/12/2010. Contudo, esse prazo concedido nas normas do Sistema Nacional de Certificação de Unidades Armazenadoras não exime a empresa armazenadora das responsabilidades sobre qualquer evento.
TABELA ITEM 5
|
REQUISITOS |
NÍVEL FAZENDA |
COLETOR |
INTERMEDIÁ-RIO |
TERMINAL |
|
CONV. |
GRA-NEL |
CONV. |
GRA-NEL |
CONV. |
GRA-NEL |
CONV. |
GRA-NEL |
|
5. AMBIENTE DE ATENDIMENTO AO PÚBLICO |
|
Estacionamento |
R |
R |
O² |
O² |
O² |
O² |
O² |
O² |
|
Instalações sanitárias |
R |
R |
O4 |
O4 |
O4 |
O4 |
O4 |
O4 |
6. Escritório
A unidade armazenadora deve possuir arquivo físico e/ou digital para guarda dos documentos bem como, equipamentos de informática que possibilitem a geração de relatórios atualizados sobre entradas, saídas e saldos de estoques, por produto e depositante.
É obrigatória a existência de instalações sanitárias para os funcionários e demais pessoas que trabalham na unidade armazenadora, consoante a legislação vigente.
Para que o armazenador possa proceder às adaptações necessárias as exigências legais, no tocante as instalações sanitárias foi concedido o prazo de até cinco anos, contado a partir da publicação da IN n.º 41/2010 no DOU, em 15/12/2010. Contudo, esse prazo concedido nas normas do Sistema Nacional de Certificação de Unidades Armazenadoras não exime a empresa armazenadora das responsabilidades sobre qualquer evento.
TABELA ITEM 6
|
REQUISITOS |
NÍVEL FAZENDA |
COLETOR |
INTERMEDIÁ-RIO |
TERMINAL |
|
CONV. |
GRA-NEL |
CONV. |
GRA-NEL |
CONV. |
GRA-NEL |
CONV. |
GRA-NEL |
|
6. ESCRITÓRIO |
|
Instalações sanitárias |
O4 |
O4 |
O4 |
O4 |
O4 |
O4 |
O4 |
O4 |
|
Arquivos de Documentos |
O¹ |
O¹ |
O¹ |
O¹ |
O¹ |
O¹ |
O¹ |
O¹ |
|
Informatização (grau de ) |
O¹ |
O¹ |
O¹ |
O¹ |
O¹ |
O¹ |
O¹ |
O¹ |
7. Sistema de pesagem
É obrigatória a existência de balança de plataforma móvel nas unidades armazenadoras convencionais "em nível de fazenda", coletoras, intermediárias e terminais, desde que não haja balança de plataforma rodoviária. Entretanto, recomenda-se que as unidades armazenadoras convencionais disponham também de balança de plataforma rodoviária.
É obrigatória a existência de balança de plataforma rodoviária nas unidades armazenadoras a granel "em nível de fazenda", coletoras, intermediárias e terminais.
Recomenda-se a adoção de métodos para aproximar peso evitando muitas manobras de caminhão no pátio para complemento ou retirada de produto.
Na inexistência de balança rodoviária própria, a unidade armazenadora deve apresentar contrato de uso de balança de terceiros, devidamente aferida.
As balanças necessitam estar aferidas, conforme legislação.
TABELA ITEM 7
|
REQUISITOS |
NÍVEL FAZENDA |
COLETOR |
INTERMEDIÁ-RIO |
TERMINAL |
|
CONV. |
GRA-NEL |
CONV. |
GRA-NEL |
CONV. |
GRA-NEL |
CONV. |
GRA-NEL |
|
7. SISTEMA DE PESAGEM |
|
Balança de plataforma móvel |
O¹ |
|
O¹ |
|
O¹ |
|
O¹ |
|
|
Balança de plataforma rodoviária |
R |
O¹ |
R |
O¹ |
R |
O¹ |
R |
O¹ |
8. Sistema de amostragem
O sistema de amostragem compreende um conjunto de equipamentos e normas operacionais que visam à obtenção de amostra representativa da carga ou do lote da mercadoria que está sendo avaliada.
Amostradores básicos:
Calador para sacaria
Todas as unidades armazenadoras convencionais devem ser dotadas de amostradores tipo calador para sacaria, para atendimento aos Regulamentos Técnicos de Identidade e Qualidade estabelecidos pelo MAPA.
Calador para produto a granel
Todas as unidades armazenadoras de produto a granel devem ser dotadas de amostradores tipo calador, que possibilitem a obtenção de sub-amostras em diferentes alturas da carga.
Amostrador pneumático
As unidades armazenadoras de produto a granel podem ser dotadas de amostradores do tipo pneumático.
Amostrador de fluxo
As unidades armazenadoras de produto a granel podem ser dotadas de amostradores de fluxo.
Sonda manual
As unidades armazenadoras de produto a granel, "em nível de fazenda" e as coletoras, podem ser dotadas de sonda manual.
Sistema de Homogeneização
Todas as unidades armazenadoras devem ser dotadas de sistema de homogeneização.
Arquivo de amostras
Todas as unidades armazenadoras devem ter arquivo para armazenamento de vias de amostras.
Normas e procedimentos para amostragem:
Procedimento de amostragem para produtos ensacados
Para comprovar a metodologia adotada, a unidade armazenadora deve dispor de normas operacionais referentes aos procedimentos adotados para a amostragem de produtos ensacados.
Recomenda-se que, na recepção ou expedição dos produtos ensacados, seja procedida a amostragem, em conformidade com os Regulamentos Técnicos de Identidade e Qualidade estabelecidos pelo MAPA.
Procedimento de amostragem para produtos em big-bag
Para comprovar a metodologia adotada, a unidade armazenadora deve dispor de normas operacionais referentes aos procedimentos adotados para a amostragem de produtos em big-bag.
Recomenda-se que, na recepção ou expedição dos produtos em big-bag, sejam amostrados todos os volumes mediante o uso de calador para produto a granel.
Procedimento de amostragem para produtos enfardados
Para comprovar a metodologia adotada, a unidade armazenadora deve dispor de normas operacionais referentes aos procedimentos adotados para a amostragem de produtos enfardados.
Na recepção ou expedição, devem ser amostrados todos os fardos do lote, conforme definido nos respectivos Regulamentos Técnicos de Identidade e Qualidade do MAPA.
Procedimento de amostragem para produtos a granel
Para comprovar a metodologia adotada, a unidade armazenadora deve dispor de normas operacionais referentes aos procedimentos adotados para a amostragem de produtos a granel.
Recomenda-se a amostragem na recepção e na expedição dos produtos a granel, utilizando o número de pontos estabelecidos nos respectivos Regulamentos Técnicos de Identidade e Qualidade do MAPA.
O produto coletado na amostragem deve ser homogeneizado, extraindo-se quantidades de amostras de acordo com o estabelecido nos respectivos Regulamentos Técnicos de Identidade e Qualidade do MAPA. O restante deve ser reincorporado ao lote, desde que solicitado pelo proprietário.
Recomenda-se que as amostras referentes aos produtos recebidos úmidos sejam guardadas por três dias e as relativas aos produtos secos e limpos (expedidos ou armazenados) pelo prazo definido nos respectivos Regulamentos Técnicos de Identidade e Qualidade do MAPA.
TABELA ITEM 8
|
REQUISITOS |
NÍVEL FAZENDA |
COLETOR |
INTERMEDIÁRIO |
TERMINAL |
|
CONV. |
GRA-NEL |
CONV. |
GRA-NEL |
CONV. |
GRA-NEL |
CONV. |
GRA-NEL |
|
8. SISTEMA DE AMOSTRAGEM |
|
Amostradores básicos: |
|
|
|
|
|
|
|
|
|
- Calador para sacaria |
O¹ |
|
O¹ |
|
O¹ |
|
O¹ |
|
|
- Calador para produto a granel |
|
O¹ |
|
O¹ |
|
O¹ |
|
O¹ |
|
- Amostrador pneumático |
|
R |
|
R |
|
R |
|
R |
|
- Amostrador de fluxo |
|
R |
|
R |
|
R |
|
R |
|
Sonda manual |
|
R |
|
R |
|
|
|
|
|
Sistema de Homogeneização |
O¹ |
O¹ |
O¹ |
O¹ |
O¹ |
O¹ |
O¹ |
O¹ |
|
Arquivo de amostras |
O¹ |
O¹ |
O¹ |
O¹ |
O¹ |
O¹ |
O¹ |
O¹ |
9. Determinação de qualidade de produto
É o processo de classificação e determinação da qualidade de um lote de mercadoria. Este procedimento pode ocorrer em diferentes épocas, ao longo do período em que o produto fica armazenado.
Recinto de análise
Todas as unidades armazenadoras devem ser dotadas de recinto para análise das amostras.
Determinador de umidade método indireto
Todas as unidades armazenadoras devem ter determinador de umidade do tipo indireto, que permita a leitura com uma casa decimal.
Determinador de umidade método direto
Todas as unidades armazenadoras podem utilizar determinadores de umidade do método direto, para aferir os determinadores de método indireto ou se utilizarem de serviços de terceiros para promover a aferição destes determinadores de umidade do método indireto.
Determinador de umidade de fluxo
Recomenda-se que todas as unidades armazenadoras a granel utilizem determinadores de umidade de fluxo.
Determinador de impurezas mecânico
Recomenda-se que todas as unidades armazenadoras tenham determinador de impurezas que utilizem o meio mecânico, com jogos de peneiras, de acordo com os respectivos Regulamentos Técnicos de Identidade e Qualidade estabelecidos pelo MAPA.
Identificador de transgenia
As unidades armazenadoras podem ser equipadas com kits para detecção de produtos transgênicos, conforme a legislação vigente. Os métodos de determinação devem ser aprovados pelos órgãos competentes.
Indicador de toxinas
Recomenda-se que as unidades armazenadoras tenham procedimentos para avaliação de toxinas aprovados pelos órgãos competentes.
Balança de precisão
Todas as unidades armazenadoras devem ter balança com precisão mínima de 0,2 gramas, para uso no recinto de classificação de grãos.
Balança hectolítrica
Recomenda-se que todas as unidades armazenadoras tenham balança hectolítrica. Este equipamento é obrigatório para as unidades armazenadoras que operam com trigo, aveia, centeio e cevada.
Engenho de Prova
Para as unidades que operam com arroz em casca é obrigatório engenho de prova.
Jogos de peneiras
As unidades armazenadoras devem possuir jogos de peneiras, de acordo com os respectivos Regulamentos Técnicos de Identidade e Qualidade do MAPA.
Acessórios (lupa, paquímetro, pinças,...)
Recomenda-se que todas as unidades armazenadoras tenham lupa, paquímetro digital, pinças, mesa de classificação e embalagens para amostras.
Normas e procedimentos:
Procedimentos para determinação de matérias estranhas e impurezas
Para comprovar a metodologia adotada, a unidade armazenadora deve dispor de normas operacionais referentes aos procedimentos empregados para a determinação de matérias estranhas e impurezas.
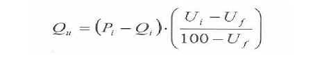
A primeira análise a ser realizada após a amostragem e a homogeneização deve ser a determinação do teor de matérias estranhas e impurezas. O teor de matérias estranhas e impurezas deve ser usado para o cálculo do desconto de peso do produto, conforme a seguinte equação:

Em que, Qi = quantidade de matérias estranhas e impurezas, kg; Pi = massa inicial do produto, kg;
Ti = teor de matérias estranhas e impurezas do produto, %.
Procedimentos para determinação de umidade
Para comprovar a metodologia adotada, a unidade armazenadora deve dispor de normas operacionais referentes aos procedimentos empregados para a determinação de umidade.
A determinação de umidade deve ser feita com o produto isento de matérias estranhas e impurezas. O cálculo da quantidade de água removida na secagem é realizado pela seguinte equação:

Em que, Qu = quantidade de água removida na secagem, kg;
Qi = quantidade de matérias estranhas e impurezas removidas, kg;
Ui = teor de água inicial, % base úmida;
Uf = teor de água final, % base úmida.
Pi = peso inicial, kg As unidades armazenadoras podem adotar tabelas próprias de quebra de peso na secagem, desde que devidamente justificadas no manual de procedimentos da unidade e especificadas nos contratos de depósitos ou de prestação de serviços. No caso das cooperativas, quando armazenarem produtos dos cooperados é dispensado a apresentação desses contratos.
Recomenda-se que sejam feitas aferições periódicas dos determinadores de umidade por meio dos fabricantes dos equipamentos, por terceiros ou pela comparação dos métodos indiretos com os determinadores de método direto.
Procedimentos para determinação de transgenia
Recomenda-se que as unidades armazenadoras tenham procedimentos para determinação de transgenia, de acordo com os métodos aprovados pelo MAPA.
Caso a unidade armazenadora tenha procedimentos para determinação de transgenia, ela deve dispor de normas operacionais, para comprovar a metodologia adotada, de acordo com as instruções do fabricante dos Kits ou metodologias utilizadas para esses testes, desde que aprovadas pelo MAPA.
Procedimentos para determinação de micotoxinas
Recomenda-se que as unidades armazenadoras tenham procedimentos de detecção de micotoxinas, de acordo com os métodos aprovados pelo MAPA.
Caso a unidade armazenadora tenha procedimentos de detecção de micotoxinas, ela deve dispor de normas operacionais, para comprovar a metodologia adotada, de acordo com instruções do fabricante dos kits ou metodologias utilizadas para esses testes, desde que aprovadas pelo MAPA.
TABELA ITEM 9
|
REQUISITOS |
NÍVEL FAZENDA |
COLETOR |
INTERMEDIÁRIO |
TERMINAL |
|
CONV. |
GRA-NEL |
CONV. |
GRA-NEL |
CONV. |
GRA-NEL |
CONV. |
GRA-NEL |
|
9. DETERMINAÇÃO DE QUALIDADE DO PRODUTO |
|
Recinto de análise |
O¹ |
O¹ |
O¹ |
O¹ |
O¹ |
O¹ |
O¹ |
O¹ |
|
Determinador de umidade método |
O¹ |
O¹ |
O¹ |
O¹ |
O¹ |
O¹ |
O¹ |
O¹ |
|
indireto |
|
|
|
|
|
|
|
|
|
Determinador de umidade método direto |
R |
R |
R |
R |
R |
R |
R |
R |
|
Determinador de umidade de fluxo |
|
R |
|
R |
|
R |
|
R |
|
Determinador de impurezas mecânico |
R |
R |
R |
R |
R |
R |
R |
R |
|
Identificador de transgenia |
R |
R |
R |
R |
R |
R |
R |
R |
|
Indicador de toxinas |
R |
R |
R |
R |
R |
R |
R |
R |
|
Balança de precisão |
O¹ |
O¹ |
O¹ |
O¹ |
O¹ |
O¹ |
O¹ |
O¹ |
|
Balança hectolítrica |
R |
R |
R |
R |
R |
R |
R |
R |
|
Engenho de Prova (arroz) |
O¹ |
O¹ |
O¹ |
O¹ |
O¹ |
O¹ |
O¹ |
O¹ |
|
Jogo de peneiras |
O¹ |
O¹ |
O¹ |
O¹ |
O¹ |
O¹ |
O¹ |
O¹ |
|
Acessórios (lupa, paquímetro, pinças..) |
R |
R |
R |
R |
R |
R |
R |
R |
10. Sistema de limpeza
O sistema de limpeza tem como objetivo reduzir o teor de impurezas e de matérias estranhas existentes na massa de grãos, permitindo eficiente secagem e adequada aeração para uma boa conservação.
O sistema de limpeza é dotado das máquinas de limpeza e/ou de pré-limpeza, em condições operacionais adequadas. Cabe ao armazenador utilizar o sistema de limpeza mais adequado ao seu sistema de secagem.
As unidades armazenadoras "em nível de fazenda", coletoras e intermediárias devem ser dotadas de sistema de limpeza, em condições operacionais adequadas. Entretanto, nas unidades armazenadoras que recebem produtos in natura limpos, fibras ou industrializados, o sistema de limpeza não é obrigatório.
Procedimentos
Para comprovar a metodologia adotada, a unidade armazenadora deve dispor de normas operacionais referentes aos procedimentos empregados para a limpeza dos produtos. Para este procedimento indica-se observar os Regulamentos Técnicos de Identidade e Qualidade do MAPA, para cada produto.
TABELA ITEM 10
|
REQUISITOS |
NÍVEL FAZENDA |
COLETOR |
INTERMEDIÁ-RIO |
TERMINAL |
|
CONV. |
GRA-NEL |
CONV. |
GRA-NEL |
CONV. |
GRA-NEL |
CONV. |
GRA-NEL |
|
10. SISTEMA DE LIMPEZA |
|
Sistema de Limpeza |
O¹ |
O¹ |
O¹ |
O¹ |
O¹ |
O¹ |
R |
R |
11. Sistema de secagem
O sistema de secagem é o processo de redução de água da massa de grãos, objetivando a armazenagem segura dos produtos agrícolas.
As unidades armazenadoras "em nível de fazenda", coletoras e intermediárias devem ser dotadas de equipamentos e/ou de sistemas para secagem de grãos, em condições operacionais adequadas, que também são recomendados para as unidades armazenadoras terminais graneleiras.
Quando as unidades armazenadoras receberem apenas produtos in natura secos, fibras ou produtos industrializados, a existência de equipamentos ou sistema de secagem de grãos não é obrigatória.
Procedimentos
Para comprovar a metodologia adotada, a unidade armazenadora deve dispor de normas ou manuais operacionais referentes aos procedimentos adotados para a secagem de produtos.
Recomenda-se que o produto, ao entrar no secador, tenha teores de impureza que não comprometam o processo de secagem e que a operação de secagem seja executada de tal forma que o produto atinja os seguintes teores de umidade:
|
Produto |
Teor máximo de umidade recomendado para armazenagem |
|
Milho |
13% |
|
Soja |
13% |
|
Trigo |
13% |
|
Arroz |
13% |
|
Amendoim |
8% |
|
Milheto |
13% |
|
Café |
12% |
|
Cevada |
13% |
|
Centeio |
13% |
|
Aveia |
13% |
|
Feijão |
13% |
|
Sorgo |
13% |
|
Canola |
9% |
|
Girassol |
9% |
Esses percentuais podem variar de acordo com as condições climáticas e operacionais, desde que não comprometam a segurança do produto.
TABELA ITEM 11
|
REQUISITOS |
NÍVEL FAZENDA |
COLETOR |
INTERMEDIÁ-RIO |
TERMINAL |
|
CONV. |
GRA-NEL |
CONV. |
GRA-NEL |
CONV. |
GRA-NEL |
CONV. |
GRA-NEL |
|
11. SISTEMA DE SECAGEM |
|
Sistema de secagem |
O¹ |
O¹ |
O¹ |
O¹ |
O¹ |
O¹ |
|
R |
12. Sistema de movimentação do produto
São compreendidos como sistema de movimentação interna de mercadoria os dispositivos e equipamentos para recepção e expedição dos grãos e de outros produtos, em condições operacionais adequadas, e os meios usados para transporte dos produtos agropecuários na unidade armazenadora.
Nas unidades armazenadoras que trabalham com produtos a granel é obrigatória a existência de moegas cobertas, independentemente do material de construção e de dimensões.
Silo "pulmão" deve ser entendido como uma extensão da moega, não sendo, portanto, local para guarda e conservação de produtos agropecuários. Dessa forma, esses silos não estão sujeitos as exigências de termometria, a menos que sejam utilizados também para o armazenamento de produtos além do tempo de realização das operações a que servem.
Às unidades armazenadoras que trabalham exclusivamente com fibras ou com produtos industrializados não é necessária a existência de moegas. Também não se aplica a exigência de moegas para as unidades armazenadoras na modalidade convencional.
TABELA ITEM 12
|
REQUISITOS |
NÍVEL FAZENDA |
COLETOR |
INTERMEDIÁ-RIO |
TERMINAL |
|
CONV. |
GRA-NEL |
CONV. |
GRA-NEL |
CONV. |
GRA-NEL |
CONV. |
GRA-NEL |
|
12. SISTEMA DE MOVIMENTAÇÃO DO PRODUTO |
|
Moega |
O¹ |
O¹ |
O¹ |
O¹ |
O¹ |
O¹ |
O¹ |
O¹ |
|
Transporte/movimentação |
O¹ |
O¹ |
O¹ |
O¹ |
O¹ |
O¹ |
O¹ |
O¹ |
13. Sistema de armazenagem
Sistema de controle elétrico
As unidades armazenadoras devem ser dotadas de sistema de proteção e comando, instalações elétricas, iluminação e força, de acordo com as normas vigentes, sobretudo a NR.º 10, do Ministério do Trabalho e do Emprego. São aceitas como comprovação de conformidade as licenças de funcionamento emitidas por prefeituras, órgãos de segurança ou ambiental.
O prazo não exime a empresa armazenadora das responsabilidades sobre qualquer evento.
Sistema de termometria
As unidades armazenadoras para produtos a granel, "em nível de fazenda", coletoras e intermediárias, devem ser dotadas de sistema de termometria, em condições operacionais adequadas. O sistema de termometria é recomendado para unidades armazenadoras terminais.
O número de pontos de leitura deve ser compatível com o tipo da estrutura e a capacidade estática da unidade armazenadora. Deve-se usar, no mínimo, um ponto de leitura a cada 150 m3 de capacidade estática, sendo os pontos uniformemente distribuídos.
Não é necessário que as unidades armazenadoras que trabalhem exclusivamente com açúcar ou farelos sejam dotadas de sistema de termometria.
Toda unidade armazenadora, cuja construção ou ampliação se iniciar a partir da publicação da IN n.º 41/2010, no DOU em 15/12/2010, deve possuir o sistema de termometria As unidades armazenadoras a serem construídas a partir da publicação da IN n.º 41/2010, no DOU em 15/12/2010, devem manter em arquivo o projeto do sistema de termometria.
Qualquer que seja a natureza da unidade armazenadora, só será exigida a existência do sistema de termometria em silos-secadores, se estes forem também utilizados para o armazenamento de grãos ou sementes.
Sistema de aeração
As unidades armazenadoras para produtos a granel, "em nível de fazenda", coletoras e intermediárias, devem ser dotadas de sistema de aeração, em condições operacionais adequadas. Para as unidades armazenadoras terminais o sistema de aeração é recomendado.
As estruturas de armazenagem do tipo vertical devem ser dotadas de sistema de aeração com fluxo de ar de, no mínimo, 0,05 metro cúbico por minuto, para cada tonelada de capacidade estática. Nas estruturas horizontais a vazão específica mínima deve ser de 0,1 metro cúbico por minuto, para cada tonelada de capacidade estática.
Não é necessário que as unidades armazenadoras que trabalhem exclusivamente com açúcar ou farelos sejam dotadas de sistema de aeração.
Toda unidade armazenadora, cuja construção ou ampliação se iniciar a partir da publicação da IN n.º 41/2010, no DOU em 15/12/2010, deve possuir o sistema de aeração.
As unidades armazenadoras a serem implantadas a partir da publicação da IN n.º 41/2010, no DOU em 15/12/2010, devem manter cópia do projeto de aeração disponível.
O sistema de aeração pode ser dotado de motores móveis, desde que sejam obedecidas as vazões anteriormente especificadas.
A vazão estabelecida deve ser observada levando-se em consideração, no caso de graneleiros, cada septo ou compartimento.
Espalhador de grãos
Recomenda-se que, para produtos armazenados a granel, as unidades armazenadoras "em nível de fazenda", coletoras, intermediárias e terminais sejam dotadas de espalhador de grãos.
Higienização (e controle sanitário) nas unidades armazenadoras, instalações físicas, equipamentos e pátio
Todas as unidades armazenadoras devem ter um sistema descrito e documentado de limpeza e higienização da estrutura armazenadora. Estas operações podem ser realizadas com equipe própria ou mediante contrato com empresas prestadoras deste serviço. Este sistema deve conter no mínimo a descrição da limpeza de toda a estrutura armazenadora, equipamentos, compartimentos e pátio.
Controle de pragas e roedores
Todas as unidades armazenadoras devem ser dotadas de equipamentos e acessórios (lonas, cobras de areia, pulverizadores, porta iscas para roedores etc.) para controle de pragas e/ou manter contrato com empresas habilitadas por órgão competente, para prestação de serviços no controle de pragas e roedores.
Recomenda-se a utilização de barreiras físicas (telas) para evitar o acesso de pássaros no interior das unidades armazenadoras.
Estrados
Todas as unidades armazenadoras convencionais devem ser dotadas de estrados.
Sempre que o piso da unidade armazenadora for de concreto impermeabilizado ou de asfalto, este dispositivo é recomendado.
No caso de armazenamento utilizando big bag este dispositivo também é recomendado.
Sistema de exaustão
Toda unidade armazenadora, cuja construção ou ampliação se iniciar a partir da publicação da IN n.º 41/2010, no DOU em 15/12/2010, deve possuir sistema de exaustão de ar, natural ou mecânico.
Para as unidades já existentes recomenda-se a instalação ou adaptação deste sistema.
Sistema de medição de condições psicrométricas do ar
As unidades armazenadoras "em nível de fazenda", coletoras e intermediárias, que operam com produto a granel, devem ser dotadas, no mínimo, de um sistema de medição de condições psicrométricas do ar.
Local para a guarda de agrotóxicos
É obrigatório que todas as unidades armazenadoras disponham de local apropriado para a guarda de agrotóxicos, na forma prevista na legislação, sobretudo o contido nas Leis n.º 7.802 e 9.974, de 11/07/1989 e 07/06/2000, respectivamente, ou outras que vierem a substituí-las ou complementálas.
Essa exigência não é necessária caso a unidade armazenadora possua contrato com empresa habilitada por órgão competente, para prestação de serviços no controle de pragas e roedores.
Procedimentos para o sistema de termometria
Para comprovar a metodologia adotada, a unidade armazenadora deve dispor de normas ou manuais operacionais referentes aos procedimentos adotados para realizar a leitura da temperatura.
O sistema de termometria deve permitir a leitura da temperatura registrada nos sensores instalados. Recomenda-se que esta leitura seja realizada sempre em um horário fixo, preferencialmente pela manhã.
As unidades armazenadoras devem manter em arquivo o registro das leituras das temperaturas da massa de grãos.
Procedimentos para o sistema de aeração
Para comprovar a metodologia adotada, a unidade armazenadora deve dispor de normas ou manuais operacionais referentes aos procedimentos adotados para a operação do sistema de aeração.
As unidades armazenadoras devem adotar procedimentos para operação do sistema de aeração, de acordo com as recomendações do Responsável Técnico.
As unidades armazenadoras devem manter em arquivo um registro dos períodos de aeração realizados, e também das condições psicrométricas do ar durante a aeração.
Procedimentos para o controle de pragas e roedores
Para comprovar a metodologia adotada, a unidade armazenadora deve dispor de normas ou manuais operacionais referentes aos procedimentos adotados para o controle de pragas e roedores.
Nas unidades armazenadoras só podem ser utilizados agrotóxicos registrados pelos órgãos oficiais, mediante receituário agronômico. As unidades armazenadoras devem obedecer às regulamentações legais para descarte das embalagens de agrotóxicos, sobretudo o contido nas Leis n.º 7.802 e 9.974, de 11/07/1989 e 07/06/2000, respectivamente, ou outras que vierem a substituí-las ou complementá- las.
Recomenda-se que as unidades armazenadoras disponham de sistema que identifica, avalia e controla as pragas que são prejudiciais para a conservação dos produtos, a exemplo do que preceitua o Manejo Integrado de Pragas.
Procedimentos para acompanhamento psicrométrico do ar
Para comprovar a metodologia adotada, a unidade armazenadora deve dispor de normas operacionais referentes aos procedimentos adotados para o acompanhamento das condições psicrométricas do ar.
As unidades armazenadoras "em nível de fazenda", coletoras e intermediárias devem manter em arquivo os registros das condições psicrométricas do ar, preferencialmente coletado em horário fixo
TABELA ITEM 13
|
REQUISITOS |
NÍVEL FAZENDA |
COLETOR |
INTERMEDIÁ-RIO |
TERMINAL |
|
CONV. |
GRA-NEL |
CONV. |
GRA-NEL |
CONV. |
GRA-NEL |
CONV. |
GRA-NEL |
|
13. SISTEMA ARMAZENAGEM |
|
Sistema de controle elétrico |
O4 |
O4 |
O4 |
O4 |
O4 |
O4 |
O4 |
O4 |
|
Sistema de termometria |
|
O4 |
|
O4 |
|
O4 |
|
R |
|
Sistema de aeração |
|
O4 |
|
O4 |
|
O4 |
|
R |
|
Espalhador de grãos |
|
R |
|
R |
|
R |
|
R |
|
Higienização nas unidades armazenadoras, instalações físicas, equipamentos e pátio |
O¹ |
O¹ |
O¹ |
O¹ |
O¹ |
O¹ |
O¹ |
O¹ |
|
Controle de pragas e roedores |
O¹ |
O¹ |
O¹ |
O¹ |
O¹ |
O¹ |
O¹ |
O¹ |
|
Estrados |
O¹ |
|
O¹ |
|
O¹ |
|
O¹ |
|
|
Sistema de exaustão |
O2 |
O2 |
O2 |
O2 |
O2 |
O2 |
O2 |
O2 |
|
Sistema de medição condições psicrométricas do ar |
|
O¹ |
|
O¹ |
|
O¹ |
|
|
|
Local para guarda de agrotóxico |
O¹ |
O¹ |
O¹ |
O¹ |
O¹ |
O¹ |
O¹ |
O¹ |
14. Sistema de segurança
Sistema de captação de material particulado
Todas as unidades armazenadoras devem ser dotadas de sistema de captação de material particulado, aprovado por meio de licença de funcionamento expedida pelo órgão competente. São aceitas como comprovação de conformidade as licenças de funcionamento emitidas por prefeituras, órgãos de segurança ou ambiental.
Toda unidade armazenadora, cuja construção ou ampliação se iniciar a partir da publicação no DOU da IN n.º 41/2010 de 15/12/2010, deve possuir sistema de exaustão de ar, natural ou mecânico.
Para as unidades já existentes haverá um prazo de até cinco anos a contar da mesma data para a instalação ou adaptação deste equipamento.
Sistema de ventilação para ambientes confinados e semiconfinados
Todas as unidades armazenadoras para produtos a granel devem ser dotadas de sistema de ventilação para remoção de gases tóxicos dos ambientes confinados e semiconfinados, de acordo com a legislação vigente, sobretudo o contido na NR.º 33, do Ministério do Trabalho e do Emprego, ou outra que vier a substituí-la.
Sistema de combate de incêndio
Todas as unidades armazenadoras devem ser dotadas de sistema de combate a incêndio que atenda às normas vigentes, definidas pelo Corpo de Bombeiros estadual ou municipal. São aceitas como comprovação de conformidade as licenças de funcionamento emitidas por prefeituras, órgãos de segurança ou ambiental.
Para que o armazenador possa proceder às adaptações necessárias as exigências legais, foi concedido o prazo de até cinco anos, a partir da publicação no DOU da IN n.º 41/2010 de 15/12/2010.
Contudo, esse prazo concedido nas normas do Sistema Nacional de Certificação de Unidades Armazenadoras não exime a empresa armazenadora das responsabilidades sobre qualquer evento.
Indicador de gases ou detector de gases
Recomenda-se que todas as unidades armazenadoras sejam dotadas de equipamentos detectores de gases tóxicos (métodos de indicação).
Sistema de proteção contra fenômenos naturais
Recomenda-se que as unidades armazenadoras atendam às orientações e exigências legais para proteção contra fenômenos naturais.
PPRA - Programa de Prevenção de Riscos Ambientais
Todas as unidades armazenadoras devem dispor deste Programa, conforme as exigências legais, sobretudo o contido na NR.º 09, do Ministério do Trabalho e do Emprego.
TABELA ITEM 14
|
REQUISITOS |
NÍVEL FAZENDA |
COLETOR |
INTERMEDIÁ-RIO |
TERMINAL |
|
CONV. |
GRA-NEL |
CONV. |
GRA-NEL |
CONV. |
GRA-NEL |
CONV. |
GRA-NEL |
|
14. SISTEMA DE SEGURANÇA |
|
Sistema captação de material |
O4 |
O4 |
O4 |
O4 |
O4 |
O4 |
O4 |
O4 |
|
Particulado |
|
|
|
|
|
|
|
|
|
Sistema de ventilação para ambientes confinados e semi |
|
O¹ |
|
O¹ |
|
O¹ |
|
O¹ |
|
Sistema de combate de incêndio |
O4 |
O4 |
O4 |
O4 |
O4 |
O4 |
O4 |
O4 |
|
Indicador ou detector de gases |
R |
R |
R |
R |
R |
R |
R |
R |
|
Sistema de proteção contra fenômenos naturais |
R |
R |
R |
R |
R |
R |
R |
R |
|
PPRA |
O¹ |
O¹ |
O¹ |
O¹ |
O¹ |
O¹ |
O¹ |
O¹ |
15. Armazenamento de algodão em pluma sob estrutura de lona
Essa estrutura de armazenamento é destinada exclusivamente à estocagem de fardos de algodão em pluma (pluma de algodão descaroçada e enfardada) em pilhas cobertas com lonas apoiadas sobre madeira ou outro material que impeça que o produto tenha contato direto com o piso dos pátios e o proteja das intempéries (chuvas, ventos, etc.).
Devem ser observados integralmente os requisitos constantes dos itens 1, 2, 3 (exceto o subitem relativo ao pátio pavimentado), 4, 5, 6, 16 e 17. As exigências constantes dos itens 7 (exceto a balança de plataforma rodoviária), 8, 9, 10, 11, 12, 13 e 14 (exceto o sistema de combate de incêndio, o sistema de proteção contra fenômenos naturais e o PPRA) não se aplicam a essa estrutura de armazenamento.
Todas as unidades armazenadoras que dispõem dessa estrutura de armazenamento devem possuir pátio com terraplanagem possibilitando o escoamento eficiente das chuvas, sem a formação de poças e, também, evitando a formação de buracos ou atoleiros na infraestrutura viária.
É obrigatória a existência de balança de plataforma rodoviária nas unidades armazenadoras de todos os níveis. Este equipamento deve estar aferido pelo Instituto Nacional de Metrologia, Normalização e Qualidade Industrial - Inmetro, sendo esta aferição comprovada por meio de certificado emitido pelos Institutos de Pesos e Medidas - IPEMs ou outro documento que venha a substituí-lo.
Na impossibilidade de possuir balança rodoviária, deve ser apresentado contrato de uso de balança de terceiro, devidamente aferida.
O arquivo de amostras é recomendado e deve ser feito em recintos dos pátios de armazenagem de algodão, respeitando as normas de armazenagem dos fardos de algodão.
É obrigatória a existência de empilhadeira para a realização da operação de movimentação da mercadoria.
As unidades armazenadoras devem ter um sistema descrito e documentado de limpeza e higienização das instalações físicas, equipamentos e pátio. As operações podem ser realizadas com equipe própria ou mediante contrato com empresas prestadoras destes serviços. Este sistema deve conter no mínimo a descrição da limpeza das instalações físicas, equipamentos e pátio.
As unidades armazenadoras devem ser dotadas de sistemas de combate a incêndio que atendam às normas vigentes, definidas pelo Corpo de Bombeiros estadual ou municipal. São aceitas como comprovação de conformidade as licenças de funcionamento emitidas por Prefeituras, órgãos de segurança ou ambiental.
Para que o armazenador possa proceder às adaptações necessárias as exigências legais, foi concedido o prazo de até cinco anos, a partir da publicação da IN n.º 41/2010 no DOU, em 15/12/2010.
Contudo, esse prazo concedido nas normas do Sistema Nacional de Certificação de Unidades Armazenadoras não exime a empresa armazenadora das responsabilidades sobre qualquer evento.
As unidades armazenadoras devem dispor de Programa de Prevenção de Riscos Ambientais - PPRA, conforme as exigências legais, sobretudo o contido na NR n.º 09, do Ministério do Trabalho e do Emprego.
A unidade armazenadora deve atender às orientações e exigências legais para proteção contra fenômenos naturais.
As unidades armazenadoras devem possuir normas e procedimentos operacionais que comprovem a metodologia utilizada para recebimento, montagem, enlonamento e amarração das pilhas (inclusive especificando o material), retirada de amostras, armazenamento e expedição elaborada pelo Responsável Técnico.
TABELA ITEM 15
|
REQUISITOS |
NÍVEL FAZENDA |
COLETOR |
INTERMEDIÁ-RIO |
TERMINAL |
|
CONV. |
GRA-NEL |
CONV. |
GRA-NEL |
CONV. |
GRA-NEL |
CONV. |
GRA-NEL |
|
15. ARMAZENAMENTO DE ALGODÃO EM PLUMA SOB ESTRUTURA DE LONA |
|
Balança de plataforma rodoviária |
O¹ |
|
O¹ |
|
O¹ |
|
O¹ |
|
|
Arquivo de amostras |
R |
|
R |
|
R |
|
R |
|
|
Empilhadeira |
O¹ |
|
O¹ |
|
O¹ |
|
O¹ |
|
|
Higienização das instalações físicas, equipamentos e pátio |
O¹ |
|
O¹ |
|
O¹ |
|
O¹ |
|
|
Sistema de combate de incêndio |
O4 |
|
O4 |
|
O4 |
|
O4 |
|
|
PPRA |
O¹ |
|
O¹ |
|
O¹ |
|
O¹ |
|
|
Sistema de proteção contra fenômenos naturais |
O¹ |
|
O¹ |
|
O¹ |
|
O¹ |
|
|
Procedimentos operacionais |
O¹ |
|
O¹ |
|
O¹ |
|
O¹ |
|
16. Demais requisitos
Responsável Técnico
Toda unidade armazenadora deve possuir profissional habilitado, para atuar como Responsável Técnico, devidamente registrado no CREA - Conselho Regional de Engenharia, Arquitetura e Agronomia.
A comprovação da atividade nesse Conselho dar-se-á por meio da ART - Anotação de Responsabilidade Técnica.
Monitoramento de Resíduos Tóxicos
É recomendado que a unidade armazenadora proceda, na entrada das mercadorias, a uma avaliação visual e olfativa dos estoques recebidos, visando a evitar o recebimento de produtos contaminados com resíduos tóxicos. No caso de constatação de contaminação do produto, o recebimento do lote deve ser suspenso.
Na suspeita da existência de contaminação do produto com resíduos tóxicos, visíveis ou não, deve-se comunicar imediatamente ao proprietário da mercadoria e adotar as medidas cabíveis.
Programas de Treinamento e Aperfeiçoamento Técnico
A unidade armazenadora deve possuir programa de capacitação dos empregados do quadro efetivo da empresa, elaborado pelo próprio armazenador. Para aqueles que atuam nas áreas operacionais, o programa deve possibilitar treinamento ou reciclagem que totalize, no mínimo, 24 horas anuais, nas áreas de armazenagem.
O treinamento deve ser realizado por instituição habilitada na área de armazenamento e atividades correlatas, ou por profissionais habilitados da própria empresa.
Na primeira auditoria a empresa armazenadora deve apresentar comprovantes da realização dos cursos por meio de certificados ou de declarações das entidades que ministraram o treinamento, com os assuntos e a carga horária.
Registros das Ocorrências Operacionais
Toda ocorrência operacional relativa aos estoques depositados, desde o recebimento até a expedição, deve ser registrada de forma auditável, de preferência informatizada, para que seja possível rastrear, por proprietário dos estoques, os procedimentos que foram adotados durante o período de armazenamento, de acordo com as orientações do Responsável Técnico.
Programa de Monitoramento de Micotoxinas
Recomenda-se que todas as unidades armazenadoras procedam à realização de testes para monitoramento de micotoxinas nos grãos armazenados.
Quadro de pessoal
A unidade armazenadora deve possuir quadro de pessoal compatível com o seu tamanho e a sua operacionalização, de acordo com declaração do próprio armazenador.
Plano de Manutenção Preventiva e Calibração de Equipamentos
Recomenda-se que a unidade armazenadora possua plano de manutenção preventiva e calibração de equipamentos.
TABELA ITEM 16
|
REQUISITOS |
NÍVEL FAZENDA |
COLETOR |
INTERMEDIÁRIO |
TERMINAL |
|
CONV. |
GRA-NEL |
CONV. |
GRA-NEL |
CONV. |
GRA-NEL |
CONV. |
GRA-NEL |
|
16. DEMAIS REQUISITOS |
|
Responsável Técnico |
O¹ |
O¹ |
O¹ |
O¹ |
O¹ |
O¹ |
O¹ |
O¹ |
|
Monitoramento de Resíduos Tóxicos (programa) |
R |
R |
R |
R |
R |
R |
R |
R |
|
Programa de Treinamento e Aperfeiçoamento Técnico |
O¹ |
O¹ |
O¹ |
O¹ |
O¹ |
O¹ |
O¹ |
O¹ |
|
Registros das Ocorrências Operacionais |
O¹ |
O¹ |
O¹ |
O¹ |
O¹ |
O¹ |
O¹ |
O¹ |
|
Monitoramento de Micotoxinas (programa) |
R |
R |
R |
R |
R |
R |
R |
R |
|
Quadro de Pessoal |
O¹ |
O¹ |
O¹ |
O¹ |
O¹ |
O¹ |
O¹ |
O¹ |
|
Plano de Manutenção Preventiva e Calibração de Equipamentos |
R |
R |
R |
R |
R |
R |
R |
R |
17. Documentação
Os documentos necessários para registro operacional e controle fiscal são os seguintes:
Documentos para registro operacional
- Romaneios ou controles de recepção, onde devem constar informações, no mínimo, sobre a identificação do proprietário da carga e do produto, a pesagem (tara e bruto) e a qualidade do produto apurada no recebimento.
- Controle da operação de secagem, onde devem constar informações sobre o produto, a identificação do operador, a data de realização, o período de operação de secagem com o monitoramento da temperatura do ar de secagem, umidade inicial e final, a temperatura e umidade relativa do ambiente (este último ponto apenas para secagem de baixa temperatura).
- Controle das operações fitossanitárias, onde devem constar informações sobre a identificação do produto, a quantidade do produto tratado, a data de realização, o fumigante ou inseticida aplicado, a dosagem utilizada e o Responsável pela operação.
- Controle de temperatura, por meio de Planilha de registro das leituras, no mínimo semanal, do sistema de termometria.
- Controle de aeração, onde devem constar informações sobre o produto, o responsável pela operação (exceto sistemas automatizados), a data de realização, o horário inicial e final, a temperatura e a umidade relativa do ar ambiente.
Relatórios de acompanhamento, no mínimo trimestrais, das supervisões realizadas pelo Responsável Técnico, para controle das condições quantitativas e qualitativas dos produtos armazenados.
Esses registros devem ser mantidos em arquivo enquanto durarem os estoques, acrescido de um ano.
Documentos para controle fiscal
Notas Fiscais de Entrada
Notas Fiscais de Saída
Notas Fiscais de Serviços
Esses documentos devem ser mantidos em arquivo pelo período definido na legislação pertinente.
ANEXO II
Regulamento de Avaliação da Conformidade das Unidades Armazenadoras
SUMÁRIO
1 Objetivo
2 Documentos Complementares
3 Siglas e Definições
4 Mecanismo de Avaliação da Conformidade
5 Alterações nos Critérios de Certificação
6 Obrigações da Unidade Armazenadora ( do Depositário )
7 Obrigações do Organismo de Certificação de Produto
8 Penalidades
9 Condições Gerais
Anexo A - Identificação da Certificação no âmbito do SBAC para a Unidade Armazenadora
1- Objetivo
Este Regulamento estabelece os requisitos necessários para Avaliação da Conformidade das Unidades Armazenadoras de Produtos Agropecuários, seus derivados, subprodutos e resíduos de valor econômico, de acordo com os Requisitos Técnicos Obrigatórios ou Recomendados para Certificação de Unidades Armazenadoras em Ambiente Natural aprovados pelo Ministério da Agricultura, Pecuária e Abastecimento - MAPA.
2- Documentos Complementares Lei n.º 9.973, de 29/5/2000 Decreto n.º 3.855, de 3/7/ 2001
Requisitos Técnicos Obrigatórios ou Recomendados para Certificação de Unidades Armazenadoras em Ambiente Natural aprovados pelo MAPA. NBR ISO/IEC 17000 - Avaliação da Conformidade - Vocabulário e Princípios Gerais
3- Siglas e Definições
3.1 - Siglas
MAPA Ministério da Agricultura, Pecuária e Abastecimento.
MDIC Ministério do Desenvolvimento, Indústria e Comércio Exterior.
SBAC Sistema Brasileiro de Avaliação da Conformidade.
CONAB Companhia Nacional de Abastecimento.
INMETRO Instituto Nacional de Metrologia, Normalização e Qualidade Industrial.
OCP Organismo de Certificação de Produto.
RAC Regulamento de Avaliação da Conformidade
UA Unidade Armazenadora.
3.2 - Definições
3.2.1 Regulamento de Avaliação da Conformidade das Unidades Armazenadoras - RAC
Documento contendo regras e condições específicas, elaboradas pela Comissão Técnica Consultiva do Sistema Nacional de Certificação de Unidades Armazenadoras, aprovadas pelo MAPA, em consonância com as normas do MDIC, para a certificação de unidades armazenadoras de produtos agropecuários, seus derivados, subprodutos e resíduos de valor econômico, exceto líquidos e produtos armazenados em ambiente artificial.
3.2.2 Sistema de Armazenagem
Conjunto das unidades armazenadoras do país destinadas à guarda e conservação de produtos agropecuários, seus derivados, subprodutos e resíduos de valor econômico.
3.2.3 Unidades Armazenadoras
Edificações, instalações e equipamentos organizados funcionalmente para a guarda e conservação dos produtos agropecuários, seus derivados, subprodutos e resíduos de valor econômico.
3.2.4 Unidade Armazenadora "em nível de Fazenda"
Unidade armazenadora localizada em propriedade rural, com capacidade estática e estrutura dimensionada para atender ao próprio produtor.
3.2.5 Unidade Armazenadora Coletora
Unidade armazenadora localizada na zona rural (inclusive nas propriedades rurais) ou urbana com características operacionais próprias, dotada de equipamentos para processamento de limpeza, secagem e armazenagem com capacidade operacional compatível com a demanda local. Em geral, são unidades armazenadoras que recebem produtos diretamente das lavouras para prestação de serviços para vários produtores.
Entretanto, nas unidades armazenadoras que recebem produtos in natura limpos e secos, fibras ou industrializados, os sistemas de limpeza e secagem não são obrigatórios.
3.2.6 Unidade Armazenadora Intermediária
Unidade armazenadora localizada em ponto estratégico de modo a facilitar a recepção e o escoamento dos produtos provenientes das unidades armazenadoras coletoras. Permite a concentração de grandes estoques em locais destinados a facilitar o processo de comercialização, industrialização ou exportação.
3.2.7 Unidade Armazenadora Terminal
Unidade armazenadora localizada junto aos grandes centros consumidores ou nos portos, dotada de condições para a rápida recepção e o rápido escoamento do produto, caracterizando como unidade armazenadora de alta rotatividade.
3.2.8 Depositante
Pessoa física ou jurídica responsável legal pelos produtos entregues a um depositário para guarda e conservação.
3.2.9 Depositário
Pessoa jurídica ou física apta a exercer as atividades de guarda e conservação de produtos próprios e/ou de terceiros.
4. Mecanismo de Avaliação da Conformidade
Este Regulamento utiliza a certificação como forma de avaliar a conformidade das unidades armazenadoras de produtos agropecuários, seus derivados, subprodutos e resíduos de valor econômico, "em nível de fazenda", coletoras, intermediários e terminais, exceto produtos armazenados em ambiente com atmosfera modificada e depósitos para líquidos.
4.1 Solicitação da Certificação
4.1.1 O depositário é responsável por solicitar a certificação junto a um OCP acreditado pelo Inmetro, apresentando a declaração que a unidade armazenadora atende aos Requisitos Técnicos Obrigatórios ou Recomendados para Certificação de Unidades Armazenadoras em Ambiente Natural aprovados pelo MAPA, além do documento de constituição da empresa, o regulamento interno do armazém e o termo de nomeação do fiel depositário (conforme previsto no Art. 32 do Decreto n.º 3.855/2001).
4.1.2 Para ingressar no programa de avaliação da conformidade das unidades armazenadoras, o depositário deve estar registrado no Cadastro Nacional de Unidades Armazenadoras da Conab.
4.1.3 As unidades armazenadoras que não são obrigadas a obter a sua certificação na forma da legislação em vigor poderão voluntariamente solicitá-la na forma deste Regulamento, devendo observar todos os requisitos técnicos aprovados pelo MAPA.
4.2 Processo de Certificação
A certificação é realizada por meio das seguintes etapas:
a) análise da documentação;
b) auditoria inicial;
c) apreciação do processo pela Comissão de Certificação interna do OCP;
d) concessão da certificação;
e) auditorias de manutenção e de alteração dos critérios para a certificação, quando for o caso.
4.2.1 Análise da Documentação
O OCP deve analisar a documentação apresentada pelo depositário em face das exigências contidas nos Requisitos Técnicos Obrigatórios ou Recomendados para Certificação de Unidades Armazenadoras em Ambiente Natural aprovados pelo MAPA, além dos documentos previstos no subitem 4.1.1 deste RAC, no prazo de até (10) dez dias úteis, a partir da solicitação.
4.2.2 Auditoria
O OCP, após análise da documentação, e de comum acordo com o solicitante, agenda a realização da auditoria "in loco".
Constatada a não-conformidade nos requisitos estabelecidos, o OCP será obrigado a indicá-la formalmente ao depositário, e não concederá a certificação, até que a não-conformidade seja eliminada e a ação corretiva seja evidenciada pelo OCP.
4.2.3 Apreciação do Processo pela Comissão de Certificação interna do OCP
Todos os processos devem ser encaminhados para apreciação da Comissão de Certificação interna do OCP, sendo sua decisão deliberativa para concessão, manutenção ou cancelamento da certificação.
4.2.4 Manutenção da Certificação
4.2.4.1 Após a concessão da licença para o uso da identificação da certificação, o controle e o acompanhamento devem ser realizados exclusivamente pelo OCP. Devem ser realizadas auditorias a cada cinco anos para verificar a manutenção da conformidade aos Requisitos Técnicos Obrigatórios ou Recomendados para Certificação de Unidades Armazenadoras em Ambiente Natural aprovados pelo MAPA e no vencimento dos prazos estabelecidos na Instrução Normativa do MAPA, quando for o caso.
4.2.4.2 O OCP deve exigir que o depositário o informe acerca de quaisquer alterações nas condições previstas nos requisitos técnicos que afete a conformidade da unidade armazenadora. Se este for o caso, o OCP deve determinar se as mudanças anunciadas exigem auditorias adicionais.
4.2.4.3 Constatada qualquer não-conformidade nos Requisitos Técnicos Obrigatórios ou Recomendados para Certificação de Unidades Armazenadoras em Ambiente Natural aprovados pelo MAPA, o OCP deve suspender temporariamente ou excluir a licença para o uso da identificação da certificação.
5. Alterações nos Critérios da Certificação
5.1 O MAPA, por recomendação da Comissão Técnica Consultiva do Sistema Nacional de Certificação de Unidades Armazenadoras, poderá promover alterações nos requisitos técnicos para a certificação e neste Regulamento, promovendo a sua publicação e divulgação nos termos da legislação e dos regulamentos pertinentes.
5.2 Em seguida à decisão e à publicação dos requisitos alterados, o OCP deve dar a devida notificação ao depositário sobre as alterações ocorridas e promover auditorias dentro do prazo estabelecido pelos novos regulamentos.
6. Obrigações do Depositário
6.1 Acatar todas as condições estabelecidas nos Requisitos Técnicos Obrigatórios ou Recomendados para Certificação de Unidades Armazenadoras em Ambiente Natural aprovados pelo MAPA, neste Regulamento, nas disposições legais e contratuais referentes ao licenciamento, independentemente de sua transcrição.
6.2 Acatar as decisões pertinentes à certificação tomadas pelo OCP. Caso haja discordância das decisões, o depositário deve recorrer formalmente, em primeira instância, ao OCP, e posteriormente ao Inmetro.
6.3 Facilitar ao OCP ou ao seu contratado, mediante comprovação desta condição, os trabalhos de auditoria e de acompanhamento que atendam aos critérios deste Regulamento.
6.4 Manter as condições técnico-organizacionais que serviram de base para a obtenção da licença para o uso da identificação da certificação. No caso de alterações nas condições técnicas e operacionais, e na documentação pertinente, para qualificação dos armazéns, o depositário deverá comunicar o fato ao OCP, no prazo máximo de 60 (sessenta) dias.
6.5 Toda unidade armazenadora deverá possuir profissional habilitado, para atuar como Responsável Técnico, devidamente registrado no CREA - Conselho Regional de Engenharia, Arquitetura e Agronomia. A comprovação da atividade nesse Conselho dar-se-á por meio da ART - Anotação de Responsabilidade.
6.6 Comunicar imediatamente ao MAPA, à Conab, ao Inmetro e ao OCP, no caso de cessar suas atividades.
7. Obrigações do Organismo de Certificação de Produto - OCP
7.1 Implementar o programa de avaliação da conformidade segundo Requisitos Técnicos Obrigatórios ou Recomendados para Certificação de Unidades Armazenadoras em Ambiente Natural aprovados pelo MAPA, dirimindo obrigatoriamente as dúvidas com o Inmetro.
7.2 Manter os seus serviços acessíveis a todos os solicitantes cujas atividades se enquadrem na certificação das unidades armazenadoras, cabendo à empresa atender às exigências legais de funcionamento.
7.3 Limitar os seus requisitos, avaliação e decisão sobre certificação àquelas matérias especificamente relacionadas ao escopo de certificação das unidades armazenadoras.
7.4 Utilizar o sistema de banco de dados fornecidos pelo MAPA para manter atualizadas as informações acerca das unidades armazenadoras certificadas.
7.5 Comunicar e registrar no sistema de banco de dados do MAPA os casos de suspensão temporária ou exclusão da certificação.
7.6 Utilizar auditores qualificados que possuam capacitação técnica na área agrícola e experiência no processo de armazenamento, podendo ser um ou mais que se complementem, desde que atendam aos seguintes critérios:
7.6.1 Ser Engenheiro Agrônomo ou Engenheiro Agrícola graduado por Curso reconhecido pelo Ministério da Educação, com registro profissional estadual ou nacional em vigor no Conselho Regional de Engenharia, Arquitetura e Agronomia (CREA), a ser comprovado por meio da Carteira Profissional expedida pelo CREA onde tem registro.
7.6.2 Ter sido freqüente e aprovado em Curso de Formação de Auditor Técnico do Sistema Nacional de Certificação de Unidades Armazenadoras habilitado pela omissão Técnica Consultiva do Sistema Nacional Certificação de Unidades Armazenadoras. O comprovante da participação no curso dar-se-á por meio de Certificado expedido pela Instituição, habilitada pela Comissão, ministrante do Curso de Formação de Auditor Técnico do Sistema Nacional de Certificação de Unidades Armazenadoras.
7.6.3 Ter aperfeiçoamento técnico ou experiência profissional na área. A comprovação deste requisito dar-se-á por meio de um dos seguintes documentos:
7.6.3.1 Histórico acadêmico onde conste que cursou na graduação disciplina de armazenamento de grãos ou equivalente, com carga horária mínima de 45 horas ou conteúdos sobre armazenamento de grãos em disciplinas cuja carga horária somada contemple um mínimo de 45 (quarenta e cinco) horas. Nos casos em que o conteúdo sobre armazenamento for ministrado em mais de uma disciplina no currículo, é válido documento expedido pela Coordenação do Curso de Graduação ou pela Direção da Unidade Acadêmica da Instituição de Ensino Superior onde colou grau (Faculdade, Centro, Departamento ou equivalente de acordo com a estrutura acadêmico-administrativa da Universidade ou Instituição Isolada, conforme o caso).
7.6.3.2 Certificado de freqüência, com aproveitamento, em curso(s) extracurricular (es) ou de extensão universitária sobre armazenamento e atividades correlatas, com carga horária mínima de 80 (oitenta) horas, ministrado por Instituição habilitada, que tenha reconhecida capacidade técnica no setor de armazenamento de grãos e de outros produtos que tenha graduação em Agronomia e/ou Engenharia Agrícola, ou Pós-Graduação em que haja linha de pesquisa ou área de concentração em armazenamento de grãos. A carga horária pode ser integralizada num único curso ou na soma desses cursos.
7.6.3.3 Certificado de freqüência, com aproveitamento, em estágio curricular ou acadêmico extracurricular na área de armazenamento ou atividades correlatas, com duração mínima de 2 (dois) semestres ou carga horária mínima de 160 (cento e sessenta) horas, orientado por docente de Instituição de Ensino Superior que ministre graduação em Agronomia e/ou Engenharia Agrícola, ou Pós-Graduação em que haja linha de pesquisa ou área de concentração em armazenamento de grãos. A carga horária pode ser integralizada num único estágio ou na soma desses.
7.6.3.4 Certificado de Curso de Pós-Graduação em Nível de Aperfeiçoamento, Especialização, Mestrado ou Doutorado, em Curso cuja linha de pesquisa ou área de concentração contemple armazenamento de grãos.
7.6.3.5 Certificado de estágio profissional ou pré-profissional na área de armazenamento ou atividades correlatas, com duração mínima de 2 (dois) semestres ou carga horária mínima de 160 (cento e sessenta) horas, orientado por Engenheiro Agrônomo ou Engenheiro Agrícola, desde que a empresa ou propriedade rural execute trabalhos com armazenamento ou beneficiamento industrial de grãos. A carga horária pode ser integralizada num único estágio ou na soma desses.
7.6.3.6 Contrato profissional com duração mínima de 1 ano diretamente no processo de armazenamento ou como Responsável Técnico (RT) de Unidade Armazenadora. Em caso de não haver registro como RT, é aceito documento da empresa em que a atividade foi ou está sendo desenvolvida, constando que o Engenheiro atuou ou atua diretamente em atividades de armazenamento ou beneficiamento industrial de grãos.
7.6.3.7 Registro de atividade autônoma de consultoria ou assistência técnica em armazenamento ou beneficiamento industrial de grãos por no mínimo 1 (um) ano.
8. Penalidades
8.1 Fica sujeito às penalidades do Sistema Nacional de Certificação de Unidades Armazenadoras aquele depositário que infringir as disposições previstas na Lei n.º 9.973, de 29/05/2000, e o disposto no Art. 21 do Capítulo IX, do Decreto n.º 3.855, de 03/07/2001, e demais atos normativos dele decorrentes.
8.1.1 Sem prejuízo da responsabilização civil, fiscal e penal cabível, o depositário ficará sujeito à aplicação das sanções de suspensão temporária da certificação ou exclusão do Sistema de Certificação, na forma do art. 13 da Lei n.º 9.973, de 29/05/2000, e dos Arts. 22 a 31 do Decreto n.º 3.855, de 03/07/2001.
9. Condições Gerais
9.1 O selo de identificação da conformidade no âmbito do SBAC indica que a unidade armazenadora está em conformidade com os Requisitos Técnicos Obrigatórios ou Recomendados para Certificação de Unidades Armazenadoras em Ambiente Natural aprovados pelo MAPA.
9.2 É de responsabilidade do MAPA informar à CONAB as unidades armazenadoras certificadas, e os casos de suspensão temporária ou exclusão da certificação, cabendo às duas entidades a divulgação destas informações em suas respectivas páginas da internet, mantendo-as sempre atualizadas.
9.2.1 Caberá à Conab incluir as informações relativas ao Sistema Nacional de Certificação de Unidades Armazenadoras no Cadastro Nacional de Unidades Armazenadoras.
9.3 O uso da identificação da certificação das unidades armazenadoras, no âmbito do SBAC, Anexo A, está vinculado à licença emitida pelo OCP, conforme previsto neste Regulamento e nas obrigações assumidas pelo depositário, formalizadas por meio de termo de compromisso para uso do selo de identificação da conformidade, firmado entre o OCP e o depositário.
9.3.1 O selo de identificação só pode ser aplicado nos certificados emitidos pelo OCP para a unidade armazenadora que atenda aos Requisitos Técnicos Obrigatórios ou Recomendados para Certificação de Unidades Armazenadoras em Ambiente Natural aprovados pelo MAPA. Este selo não pode ser usado no produto.
9.4 A licença para o uso da identificação da certificação deverá conter os seguintes dados:
a) a razão social, o nome fantasia, o endereço completo e CNPJ-MF da unidade armazenadora ou CPF do proprietário;
b) o(s) número(s) de registro(s) no Cadastro Nacional de Unidades Armazenadoras da Conab;
c) o número, a data da emissão e a validade da licença para o uso da identificação da certificação;
d) a referência à Regulamentação do Sistema Nacional de Certificação de Unidades Armazenadoras, publicada pelo MAPA;
e) a inscrição: "Esta licença está vinculada a um contrato específico para a unidade armazenadora".
9.5 O depositário licenciado tem responsabilidades técnica, civil e penal em relação ao serviço por ele operado, e sobre todos os documentos referentes à certificação, não havendo hipótese de transferência desta responsabilidade.
9.6 A licença para o uso da identificação da certificação, e sua utilização sobre os serviços, não transferirá, em hipótese alguma, a responsabilidade do licenciado para o MAPA, Inmetro ou OCP.
9.7 Em caso de alteração dos critérios de certificação, que poderá ensejar adequações, a Comissão Técnica Consultiva do Sistema de Certificação de Unidades Armazenadoras estabelecerá um prazo para implementação.
9.8 O descumprimento dos preceitos estabelecidos neste RAC para o uso da identificação da certificação acarretará penalidade de suspensão temporária ou cancelamento da certificação da Unidade Armazenadora.
9.9 No caso da suspensão temporária ou do cancelamento da certificação, o OCP deve comunicar imediatamente ao MAPA, à Conab, ao Inmetro e ao depositário. O depositário deve cessar imediatamente o uso de toda e qualquer publicidade que tenha relação com a identificação da certificação.
Anexo A - Identificação da Certificação no âmbito do SBAC para a Unidade Armazenadora
DOU., 09/06/2011 - Seção 1